Piezo Hannas (WuHan) Tech Co,.Ltd .- Fournisseur d'éléments piézocéramiques professionnels
Nouvelles
Vous êtes ici: Maison / Nouvelles / Bases de la céramique piézoélectrique / Mode de vibration du vibrateur de la céramique piézoélectrique

Mode de vibration du vibrateur de la céramique piézoélectrique

Nombre Parcourir:0     auteur:Éditeur du site     publier Temps: 2018-10-30      origine:Propulsé

enquête

facebook sharing button
twitter sharing button
line sharing button
wechat sharing button
linkedin sharing button
pinterest sharing button
whatsapp sharing button
sharethis sharing button

Les vibrateurs en céramique piézoélectrique ont une large gamme d'applications. Les transformateurs en céramique piézoélectrique et les filtres en céramique piézoélectrique sont traités ou combinés par des vibrateurs piézoélectriques d'une certaine manière. Les paramètres duTransducteur de céramique piézoélectriqueCela dépend en grande partie de la vibration des vibrateurs piézoélectriques. mode. Les modes de vibration du vibrateur sont divisés en: vibration télescopique, vibration de flexion, vibration de cisaillement et mode de vibration télescopique. Le mode de vibration d'étirement conventionnel du vibrateur en céramique piézoélectrique est divisé en un mode de vibration d'étirement longitudinal, un mode de vibration radial et un mode de vibration de direction d'épaisseur.


  1. Mode de vibration de la longueur longue longueur longue


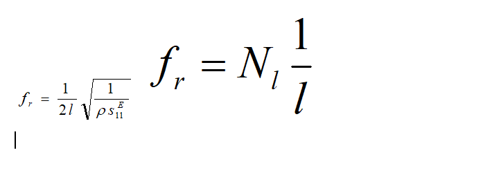
    La soi-disant morceau long mince signifie que la longueur L duParamètre de matériau PZTest beaucoup plus grand que la largeur w et l'épaisseur t, et la largeur w est beaucoup plus grande que l'épaisseur t. Les deux extrémités de la pièce en céramique sont dans un état de vibration libre mécanique. Sous l'action d'un champ électrique alternant appliqué, la mince pièce longue produit des vibrations d'étirement le long de la longueur. En raison de la vibration, la direction de vibration de chaque point de la feuille coïncide avec la direction de propagation, donc l'onde de vibration est une onde longitudinale, et l'amplitude du point central du film est nulle, et l'amplitude des deux extrémités est la le plus grand. Toute la longueur du film ne permet que les longueurs d'onde fondamentales et demi. La fréquence de résonance fondamentale est:

H2`iwg`ib4] m5f (zm {eep3


En plus de la vibration d'étirement dans la direction longitudinale, la mince pièce longue a également des vibrations d'étirement dans les directions d'épaisseur et de largeur. Cependant, la vibration dans les directions de largeur et d'épaisseur est beaucoup plus petite que la vibration dans la direction longitudinale, et les effets des vibrations dans les deux directions sur la vibration dans la direction longitudinale sont négligeables.

Mode de vibration radiale du disque mince.


Une fine tranche est une plaquette ayant un diamètre D qui est beaucoup plus grande que l'épaisseur t deTransducteur de l'anneau en céramique piézo. La vibration d'étirement le long de la direction du diamètre de la plaquette est appelée mode vibration radiale. La direction de polarisation est parallèle à la direction d'épaisseur et la direction de vibration est parallèle à la direction radiale de la tranche. La direction de vibration est cohérente avec la direction de propagation de l'onde, et l'onde de vibration est une onde longitudinale. L'amplitude du centre de la tranche est nul, qui est le nœud de l'onde, et le front d'onde est une surface cylindrique. Si la plaquette est divisée par une électrode en anneau, une vibration de dépassement d'ordre élevé se produira et sa fréquence de vibration est environ 2,8 fois plus élevée que celle de l'électrode entière. Vibrateurs en céramique piézoélectrique en utilisant ce mode de vibration de dépassement debague de transducteur piézoélectrique Peut être utilisé pour charger des filtres à fréquence plus élevés.


Mode de vibration d'épaisseur du disque


Le vibrateur du mode de vibration d'étirement du disque a la même forme et la même polarisation, et la direction du champ électrique d'excitation est la même que celle du mode de vibration radiale du disque. Depuis le vibrateur dePZT82 MATÉRIAUX PIEZOELLECTRIQUESPeut être rendu très mince, l'épaisseur peut être obtenue en utilisant le mode de vibration de l'épaisseur. La fréquence de résonance fondamentale FR de ce mode de vibration est inversement proportionnelle à l'épaisseur de la tranche


3h0l7w_ $ jtttsc} rwb8ay @ j

Ce mode de vibration nécessite un rapport du diamètre d de la tranche piézo-pieuse à l'épaisseur t. Ce mode de vibration convient à une plage de fréquences de 3 à 10 MHz et à une bande passante relative de 1 à 4%.

Retour d'information
Piezo Hannas (WuHan) Tech Co,.Ltd est un fabricant professionnel de céramiques piézoélectriques et de transducteurs à ultrasons, dédié à la technologie ultrasonique et aux applications industrielles.

RECOMMANDER

NOUS CONTACTER

Ajouter: No.456 Wu Luo Road, district de Wuchang, City Wuhan, province de Hubei, Chine.
E-mail:sales@piezohannas.com
Tél: +86 27 84898868
Téléphone: +86 + 18986196674
QQ: 1553242848
Skype: Live: Mary_14398
Copyright 2017    Piezo Hannas (WuHan) Tech Co,.Ltd.All rights reserved.                     
Des produits