Piezo Hannas (WuHan) Tech Co,.Ltd .- Fournisseur d'éléments piézocéramiques professionnels
Nouvelles
Vous êtes ici: Maison / Nouvelles / Bases de la céramique piézoélectrique / Mode de vibration de flexion du vibrateur de la céramique piézoélectrique

Mode de vibration de flexion du vibrateur de la céramique piézoélectrique

Nombre Parcourir:0     auteur:Éditeur du site     publier Temps: 2018-10-30      origine:Propulsé

enquête

facebook sharing button
twitter sharing button
line sharing button
wechat sharing button
linkedin sharing button
pinterest sharing button
whatsapp sharing button
sharethis sharing button

Si deux épaisses Disques piézo-piéquais PZT5Des feuilles ayant la même épaisseur et des électrodes polarisées sont liées ensemble, lorsqu'un champ électrique passionnant appliqué à l'extérieur peut allonger l'une des feuilles et que l'autre pièce est raccourcie, des vibrations de flexion peuvent être générées. Pour les feuilles liées dans les directions opposées de la polarisation, la puissance est connectée en série, et les feuilles liées dans la même direction de polarisation sont connectées en parallèle à la source d'alimentation. Lorsque l'électrode supérieure de la tension appliquée est positive et que l'électrode inférieure est négative, le champ électrique appliqué de la feuille supérieure est opposé à la direction de polarisation, la feuille est allongée, la direction de polarisation de la feuille inférieure est la même que la direction du champ électrique appliqué, et la feuille est raccourcie pour produire une forme incurvée convexe; Ensuite, une courbe concave est produite. Lorsqu'un champ électrique alterné est appliqué, des vibrations de flexion sont générées.


Lorsque la vibration de flexion de la partie supérieure doit être allongée (raccourcie), la partie inférieure decâblage des disques piézocéramiquesest raccourci (allongé), et il doit y avoir une surface qui n'est ni allongée ni raccourcie au milieu. Pour une feuille de même épaisseur, ce côté est la surface de liaison. Sur la surface adhésive ne s'étire pas et ne raccourcit pas, il y a deux points A et B qui restent stationnaires pendant les vibrations. Ces deux points sont appelés nœuds. Dans les deux feuilles adhésives, le champ électrique excite seulement l'un d'eux pour générer des vibrations de flexion. De même, si deux feuilles de céramique piézoélectrique sont collées à une feuille en métaux minces, ou une feuille de céramique piézo-piéneuse est liée à une feuille de métaux minces, des vibrations de flexion peuvent être générées.


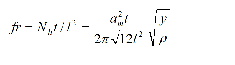
La relation entre la fréquence de résonance du mode de vibration de flexion d'épaisseur et la longueur du film et l'épaisseur totale de la feuille liée est:


Dgif680 @ 5 @ e}% `j4y5 (4i8v





Ici, la constante de fréquence, qui est le coefficient lié au nombre d'ondes, y est le module du jeune, et ρ est la densité céramique piézo. La bande passante relative de la vibration de flexion de l'épaisseur de la bande est de 0,25 à 3%, et la plage de fréquences applicable est de 500 Hz à 20 kHz. La taille de ces vibrateurs est généralement: l = (6 ~ 10) w, w≥3,5t.


Deuxièmement, le mode de vibration de flexion de la largeur de bande:


En divisant l'électrode, une seule pièce en céramique deTransducteur ultrasonique piézoélectriquePeut être soumis à une vibration de flexion dans la largeur (ou en mode vibration de flexion), et l'électrode est divisée en deux parties le long de la ligne médiane des électrodes des deux côtés du long morceau de pièce céramique, ce qui équivaut à deux Les feuilles de céramique piézoélectrique échographique sont liées ensemble. Si un champ électrique alterné est appliqué aux paires d'électrodes divisées, des vibrations de flexion dans la direction de largeur peuvent être générées. Étant donné que l'électrode de surface d'une pièce en céramique piézo est divisée en deux paires d'électrodes, il y a deux façons d'exciter la vibration de flexion:



95i] 80 [3b {wm5i @@ z% xu @ b8

Fréquence de résonance du mode de vibration de flexion de largeur de bande longue:



Iovef4% yoeeqg @ 5xg8)) kj




W est la largeur de la feuille en céramique; l est la longueur de la feuille en céramique; y est le module des jeunes; k est le numéro d'onde; ρ est la densité de la céramique.
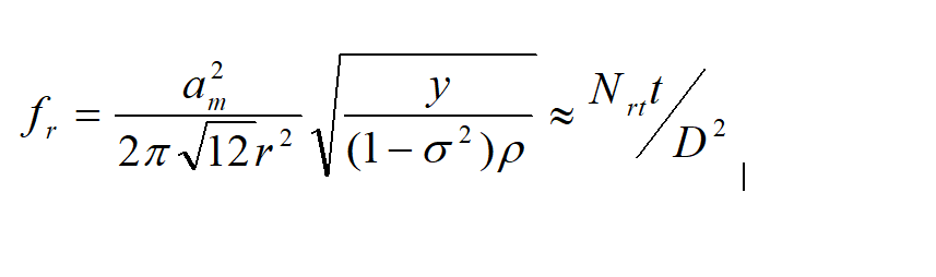
Troisièmement, l'épaisseur du mode de vibration de flexion du disque:
Si les deux plaquettes en mode vibration radiale sont liées et polarisées et excitées de la même manière que les longues bandes, la vibration d'épaisseur de la plaquette est obtenue. La fréquence résonante de cette vibration de flexion est


UOX6UZ0YA59H5T] 7 $ FA6HPK




Mode de vibration de cisaillement d'épaisseur:


Le mode de vibration de cisaillement d'épaisseur du pick-up à disque piézoélectrique ultrasonique est caractérisé en ce que les faces d'électrode sont parallèles à la direction de polarisation. Sous l'action d'un champ électrique alternant, la feuille de céramique piézo-piéneuse produit une vibration de cisaillement d'épaisseur. Cette vibration est la déformation coulissante relative le long de la longueur et des directions d'épaisseur des deux surfaces opposées du corps piézoélectrique parallèle à la direction de la polarisation. La particule est déplacée le long des directions de longueur et d'épaisseur, tandis que l'onde se propage le long de l'épaisseur. La fréquence de résonance du mode de vibration de cisaillement d'épaisseur est


[Q} jj {] rd $ d2 @ (] xeo {9i7

Mode de vibration de piège:


Lorsque la zone d'électrode des matériaux piézocéramiques disques piézoélectriques est faible par rapport à la zone de la feuille de céramique, une zone d'électrode appropriée et sa charge de masse métallique peuvent provoquer un phénomène de piégeage dit. Une fois le piège, l'énergie d'excitation est confinée sous l'électrode ponctuelle et se désintègre de façon exponentielle autour. À ce stade, la zone d'électrode ponctuelle et le bord voisin forment un système de vibration indépendant. La vibration de piégeage est en fait une vibration d'étirement d'épaisseur. Étant donné que l'électrode de ce vibrateur est petite, elle est également appelée vibrateur ponctuel ou vibrateur d'électrode ponctuelle. La fréquence de résonance fondamentale de cet oscillateur est


O% rr @ 5} r [y0jg_2y $ ti] z5


Modes de vibration communs et caractéristiques connexes:


Q2O5U {Yufznyl $ BW1SXV4E









Retour d'information
Piezo Hannas (WuHan) Tech Co,.Ltd est un fabricant professionnel de céramiques piézoélectriques et de transducteurs à ultrasons, dédié à la technologie ultrasonique et aux applications industrielles.

RECOMMANDER

NOUS CONTACTER

Ajouter: No.456 Wu Luo Road, district de Wuchang, City Wuhan, province de Hubei, Chine.
E-mail:sales@piezohannas.com
Tél: +86 27 84898868
Téléphone: +86 + 18986196674
QQ: 1553242848
Skype: Live: Mary_14398
Copyright 2017    Piezo Hannas (WuHan) Tech Co,.Ltd.All rights reserved.                     
Des produits